|
近日,网传消息称 一位名叫“提子”的美食网红博主 拍摄水煮鲨鱼和烧烤鲨鱼的视频 有科普博主反映 这条鲨鱼是国际濒危野生动物噬人鲨 相当于国家二级保护动物
7月31日,红星新闻等媒体从四川南充警方获悉,经鉴定,网红“提子”视频中的鲨鱼确是噬人鲨(也称大白鲨),相关案件正在进一步办理中。 网传视频画面中,该美食博主在一海鲜超市门口,将一包裹拆开,里面装着一条体型硕大的“鲨鱼”,引来不少人围观。之后,该网红博主和其他人将这条“鲨鱼”运到乡下,对“鲨鱼”进行了分割,用来水煮和烧烤。视频画面中,左上角写有“人工养殖可食用”的字幕。 
最先举报“网红疑烹食濒危‘大鲨鱼’”当事人“神話Q爆風”博主表示,他翻阅“网红”提子以往视频发现,一沿海渔港的视频场景曾多次出现。“我找了几位懂行的专家,推断出那个海边的渔港应该是在浙江,于是给浙江海洋与渔业局打了电话,那边现在也正在追查。” 
据此前报道,中国渔业协会原生水生物及水域生态专业委员会主任委员周卓诚称,视频中的鲨鱼的确为噬人鲨,也称大白鲨,是国家二级保护动物。依照法律,捕捞后不管死活都需要抛弃入海,上岸、销售、购买都违法,并且噬人鲨没有人工养殖。 
7月14日晚,当事博主“提子”接受媒体采访时表示,视频里的“鲨鱼”并非噬人鲨,也不是濒危动物,而是“尖齿鲨”。 视频中的海鲜超市老板向记者表示,鲨鱼并不是自己店里售卖,而是博主提前带来进行拍摄的,自己只是借用场地。 目前,网红“提子”短视频账号所有视频均已消失。

本期的 上海共青团微信公众号影响力排行榜 准时出炉啦! 上周又有哪些精彩内容? 赶紧来看↓ 
一周点评 ☆ 青年力量,自然而“燃”。华政青年发布的《华政学子打响中国“苹果税”终结战第一枪!》展现了华政青年纯粹的热爱与敢于试错的勇气;青春松江发布的《【青年说】“思想伟力、云间故事”新媒体宣讲活动(一)来啦(投票)》《【青年说】“思想伟力、云间故事”新媒体宣讲活动(二)来啦(投票)》、青春杨浦发布的《扬青春,谱未来 | 杨浦区中学生共产主义学校夏训营线上火热来袭!》、青春长宁发布的《通报表扬!长宁区这8家团组织斩获佳绩》,都在用全新的方式传承、谱写、创造青年的新时代力量。 
上海市公安局长宁分局团委
☆ 美观、舒适、易读的推送总是会格外吸引人。华政青年发布的《这些华政的“瓜”你都“吃”过吗?》,利用SVG动画与读者产生互动,乐趣满满;小花梨发布《新学期校历重要时间节点公布!好看的校历“皮肤”等你来挑!》,校历设计看似简约却蕴含了丰富的内涵;庭前独角兽发布的《法官眼中,案例检索该怎么做、如何用?| 庭前独角兽》用舒适大方的排版向我们科普了案例检索的相关知识。 
华政校园的“顶流”石狮换上新装
☆ 走出舒适圈,遇见有趣的灵魂。浦东青年发布的《【团聚爱报名】七夕不孤单,和Ta邂逅在“缘宇宙”!》、上铁青年发布的《你好星期六丨依然是多才多艺的你们~》,“缘”来是你们让大家打破社交圈层,一同踏上心动之旅。
一周榜单 



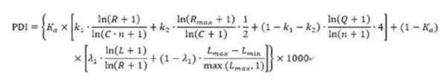
PDI指数是什么 青春上海携手上海交通大学大数据与传播创新实验室(T-Lab)打造全新的PDI(Pandata Index)全景数据评估指数,拒绝过度关注点赞数,更认真地统计峰值,认同潜力值,立志于更科学地为新媒体传播做测算: 
文章发布时段:2022年7月24日~2022年7月30日 数据收录时间:2022年8月1日 10:00
来源:中国青年报、中国新闻网 数据汇总:张璐 制表:吴佳斐 点评/整理:贝塔、青春上海实习生 陈妍 责任编辑:陈思焙 校审:姚佳森 终审:许晔婷
|