|
近日 有网友晒出 三版人民教育出版社教材中 袁隆平院士的相关文章 其中最后一段内容的变化 让网友直呼泪目

↓ 
↓ 
从“依然活跃在 实验室和希望的田野上” 到“他将一生都奉献给了 杂交水稻事业” 在描述中 网友忆起了2021年那个夏天 袁隆平院士逝世的消息传来时 自己眼角泛起的泪花 “最后一段再也不会改版了” “没点开图就鼻子一酸” 
正如网友所说 总是不经意间想起袁爷爷 眼泪会默默流下来 我们永远怀念您!

本期的 上海共青团微信公众号影响力排行榜 也准时出炉啦! 上周又有哪些精彩内容? 赶紧来看↓ 
一周点评 ☆ 青春舞台,因你精彩!庭前独角兽发布《那些“不务正业”的知产法官们......》,展现知产法官们背后不为人知,努力提升自我的一面;青声入微发布《“新征程上共青春” 上海公安机关纪念五四运动104周年暨庆祝建团101周年主题活动隆重举行》,精彩活动展现上海公安青年昂扬向上、奋发进取的良好风貌。 
上海公安机关纪念五四运动104周年暨庆祝建团101周年主题活动
☆ 本周多篇获奖通报类推文上榜,青春杨浦发布《喜报!杨浦学子在“未来杯”课外活动竞赛中喜获市级奖项!》;青春奉贤发布《重磅!2023年度奉贤区贤城好青年候选人名单出炉啦!》;华政青年发布《双赛道冠军诞生!谁是长三角最“受欢迎”法学生?》,展现上海青年在不同领域绽放青春光彩。
一周榜单 



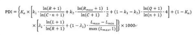
PDI指数是什么 青春上海携手上海交通大学大数据与传播创新实验室(T-Lab)打造全新的PDI(Pandata Index)全景数据评估指数,拒绝过度关注点赞数,更认真地统计峰值,认同潜力值,立志于更科学地为新媒体传播做测算: 
文章发布时段:2023年4月23日~2023年4月29日 数据收录时间:2023年5月1日 10:00
来源:共青团中央、北京日报、人民教育出版社、微博@人民日报、@思想聚焦、网友评论等 制表:吴佳斐 数据:张璐 点评/整理:杨昊霖 见习编辑:杨昊霖 校审:姚佳森 终审:许晔婷
|